Quality of life in urban neighborhoods in Colombia: the cases of Bogotá and Medellín
Loading...
Borradores de Economía; No. 536
Date published
2008-11-13
Date
2008-11-13
Part of book title
ISSN
ISBN
Document language
spa
Las opiniones contenidas en el presente documento son responsabilidad exclusiva de los autores y no comprometen al Banco de la República ni a su Junta Directiva.
The opinions contained in this document are the sole responsibility of the author and do not commit Banco de la República or its Board of Directors.
Abstract
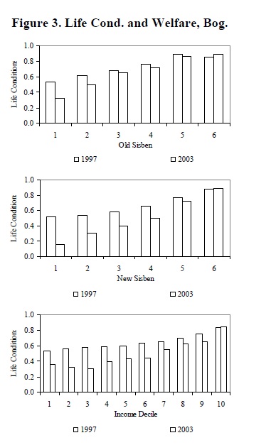
We use data from Bogotá and Medellín to describe key quality of life indicators of each city and illustrate their spatial segregation at the census sector level and present evidence that the main two Colombian cities are highly spatially segregated accord
Description
Temática
Keywords
Keywords
Citation
Collections
Seleccionar año de consulta:

Esta obra está bajo licencia internacional Creative Commons Reconocimiento-NoComercial 4.0.
Este documento ha sido depositado por parte de el(los) autor(es) bajo la siguiente constancia de depósito






