Scale-free tails in colombian financial indexes : a primer
| dc.audience | Policymakers | eng |
| dc.audience | Researchers | eng |
| dc.audience | Teachers | eng |
| dc.audience | Students | eng |
| dc.coverage.sucursal | Bogotá | spa |
| dc.creator | León-Rincón, Carlos Eduardo | |
| dc.creator.firma | Carlos León | |
| dc.date.accessioned | 2014-03-07T08:30:10Z | eng |
| dc.date.available | 2014-03-07T08:30:10Z | |
| dc.date.created | 2014-03-07 | |
| dc.date.issued | 2014-03-07 | |
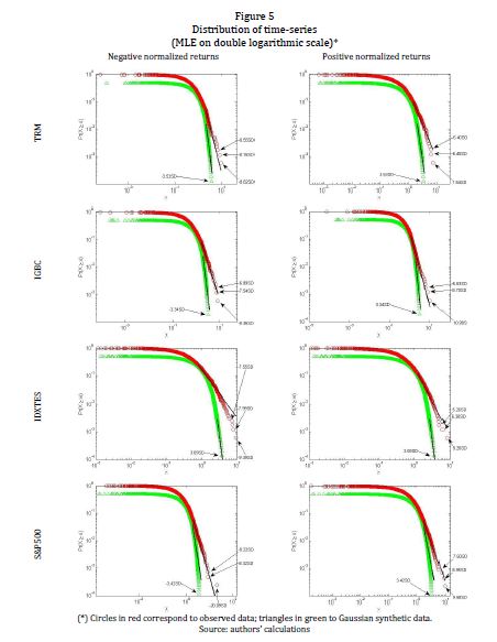
| dc.description.abstract | A maximum likelihood method for estimating the power-law exponent verifies that the positive and negative tails of the Colombian stock market index (IGBC) and the Colombian peso exchange rate (TRM) approximate a scale-free distribution, whereas none of th | eng |
| dc.format.mimetype | spa | |
| dc.identifier.handle | https://hdl.handle.net/20.500.12134/6098 | spa |
| dc.identifier.uri | https://repositorio.banrep.gov.co/handle/20.500.12134/6098 | |
| dc.language.iso | spa | spa |
| dc.publisher | Banco de la República | spa |
| dc.relation.doi | https://doi.org/10.32468/be.812 | spa |
| dc.relation.ispartof | Documentos de Trabajo | spa |
| dc.relation.ispartofseries | Borradores de Economía | spa |
| dc.relation.isversionof | Borradores de Economía; No. 812 | |
| dc.relation.number | Borrador 812 | spa |
| dc.relation.repec | https://ideas.repec.org/p/bdr/borrec/812.html | spa |
| dc.rights.Habeas | Datos personales: El(los) autor(es) ha(n) incluido sus datos personales (nombres, correo electrónico, filiación académica, perfil académico, entre otros) en el Portal de Investigaciones o la obra remitida para publicación, y por consiguiente, manifiesta(n) que mediante el diligenciamiento y registro de sus datos personales autoriza(n) al Banco de la República el tratamiento (recolección, almacenamiento, uso, circulación o supresión) de todos los datos suministrados con la finalidad de adelantar la publicación de la obra en el Portal de Investigaciones, dar a conocer su perfil académico y medios de contacto para fines académicos y divulgativos, así como para la construcción de indicadores y estadísticas para el seguimiento y control de las actividades de divulgación del Portal de Investigaciones. Para tal fin, se informa que el tratamiento de los datos personales se realizará de acuerdo con las políticas o lineamientos generales disponibles en http://www.banrep.gov.co/proteccion-datos-personales, en la sección “Protección de Datos Personales - Habeas Data”. | spa |
| dc.rights.Objeto | Objeto de publicación: La obra de mí (nuestra) autoría tiene por objeto ser publicada en el Portal de Investigaciones del Banco de la República e incluirla en el repositorio institucional de esa misma entidad. La obra podrá consistir en documento escrito, audiovisual, audio, gráfico, fotográfico, infográfico, podcasts, etc., y podrá estar en cualquier formato conocido o por conocerse. | spa |
| dc.rights.accessRights | Open Access | eng |
| dc.rights.cc | Atribucion-NoComercial-CompartirIgual CC BY-NC-SA 4.0 | eng |
| dc.rights.disclaimer | The opinions contained in this document are the sole responsibility of the author and do not commit Banco de la República or its Board of Directors. | eng |
| dc.rights.spa | Acceso abierto | spa |
| dc.rights.uri | https://creativecommons.org/licenses/by-nc-sa/4.0/ | eng |
| dc.source.handleRepec | RePEc:bdr:borrec:812 | spa |
| dc.subject | Ley de potencias | spa |
| dc.subject | Libre de escala | spa |
| dc.subject | Ley de Zipf | spa |
| dc.subject | Retornos financieros | spa |
| dc.subject.jel | G32 - Financing Policy; Financial Risk and Risk Management; Capital and Ownership Structure; Value of Firms; Goodwill | eng |
| dc.subject.jelspa | G32 - Política de financiación; riesgo financiero y gestión de riesgos; Estructura del capital y de la propiedad; Valor de empresa; fondo de comercio | spa |
| dc.subject.keyword | Scale-free | eng |
| dc.subject.keyword | Power-law | eng |
| dc.subject.keyword | Zipf’s law | eng |
| dc.subject.keyword | Financial returns | eng |
| dc.subject.lemb | Indicadores financieros -- Colombia | spa |
| dc.subject.lemb | Mercado de capitales -- Colombia | spa |
| dc.subject.lemb | Tipos de cambio -- Colombia | spa |
| dc.subject.lemb | Rendimiento financiero -- Colombia | spa |
| dc.title | Scale-free tails in colombian financial indexes : a primer | spa |
| dc.type | Working Paper | eng |
| dc.type.hasversion | Published Version | eng |
| dc.type.spa | Documentos de trabajo | spa |
Files
Original bundle
1 - 5 of 9
Loading...
- Name:
- be_812.pdf
- Size:
- 1.5 MB
- Format:
- Adobe Portable Document Format
- FILE
- https://repositorio.banrep.gov.co/bitstream/handle/20.500.12134/6098/be_812.pdf
- Description:
- Borradores de Economia No. 812
Loading...
- Name:
- BDE-812-001.JPG
- Size:
- 68.07 KB
- Format:
- Joint Photographic Experts Group/JPEG File Interchange Format (JFIF)
- FILE
- https://repositorio.banrep.gov.co/bitstream/handle/20.500.12134/6098/BDE-812-001.JPG
- Description:
- Imagen 812-001
Loading...
- Name:
- BDE-812-002.JPG
- Size:
- 58.4 KB
- Format:
- Joint Photographic Experts Group/JPEG File Interchange Format (JFIF)
- FILE
- https://repositorio.banrep.gov.co/bitstream/handle/20.500.12134/6098/BDE-812-002.JPG
- Description:
- Imagen 812-002
Loading...
- Name:
- BDE-812-003.JPG
- Size:
- 82.76 KB
- Format:
- Joint Photographic Experts Group/JPEG File Interchange Format (JFIF)
- FILE
- https://repositorio.banrep.gov.co/bitstream/handle/20.500.12134/6098/BDE-812-003.JPG
- Description:
- Imagen 812-003
Loading...
- Name:
- BDE-812-004.JPG
- Size:
- 60.24 KB
- Format:
- Joint Photographic Experts Group/JPEG File Interchange Format (JFIF)
- FILE
- https://repositorio.banrep.gov.co/bitstream/handle/20.500.12134/6098/BDE-812-004.JPG
- Description:
- Imagen 812-004
License bundle
1 - 1 of 1





