Salario mínimo, salario medio y empleo asalariado privado en Colombia
Loading...
Borradores de Economía; No. 484
Date published
2008-02-03
Date
2008-02-03
Part of book title
ISSN
ISBN
Document language
spa
Las opiniones contenidas en el presente documento son responsabilidad exclusiva de los autores y no comprometen al Banco de la República ni a su Junta Directiva.
The opinions contained in this document are the sole responsibility of the author and do not commit Banco de la República or its Board of Directors.
Abstract
We use quarterly household surveys data of Colombian seven largest cities, to estimate the degree of evasion of the legal minimum wage. We also assess the strategies that have put into practice private companies (more extra hours, hiring less young worker
Description
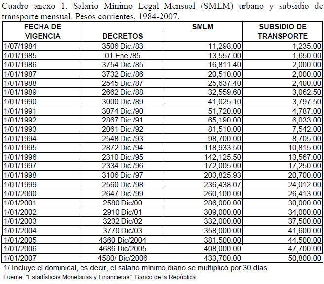
Este artículo pretende examinar -con base en las series trimestrales, 1984-2006, de las encuestas de hogares del DANE para las siete principales áreas metropolitanas de Colombia- el grado de evasión al salario mínimo legal (SML) en Colombia; se ocupa también de las estrategias que han puesto en práctica las empresas privadas (05r uso de horas extras, recomposición del empleo en contra de los trabajadores jóvenes sin educación superior, incremento en la evasión) para evitar que las alzas que se produjeron desde 1993/94 en los salarios indirectos y, desde 1999, en el mínimo real, se trasladaran al salario medio; se ocupa también de la relación entre el salario mínimo y la pobreza. Sugiere que, en vez de elevar adicionalmente el mínimo real es preferible incidir en su acatamiento legal mediante una 05r inspección y vigilancia, sobre todo para el dominical y el auxilio de transporte.
Temática
Keywords
Keywords
Citation
Collections
Seleccionar año de consulta:

Esta obra está bajo licencia internacional Creative Commons Reconocimiento-NoComercial 4.0.
Este documento ha sido depositado por parte de el(los) autor(es) bajo la siguiente constancia de depósito






