Credit funding and banking fragility : an empirical analysis for emerging economies
Loading...
Borradores de Economía; No. 931
Date published
2016-03-04
Date
2016-03-04
Authors
Guarín-López, Alexander
Lozano-Espitia, Luis Ignacio
Lozano-Espitia, Luis Ignacio
Part of book title
ISSN
ISBN
Document language
spa
Las opiniones contenidas en el presente documento son responsabilidad exclusiva de los autores y no comprometen al Banco de la República ni a su Junta Directiva.
The opinions contained in this document are the sole responsibility of the author and do not commit Banco de la República or its Board of Directors.
Abstract
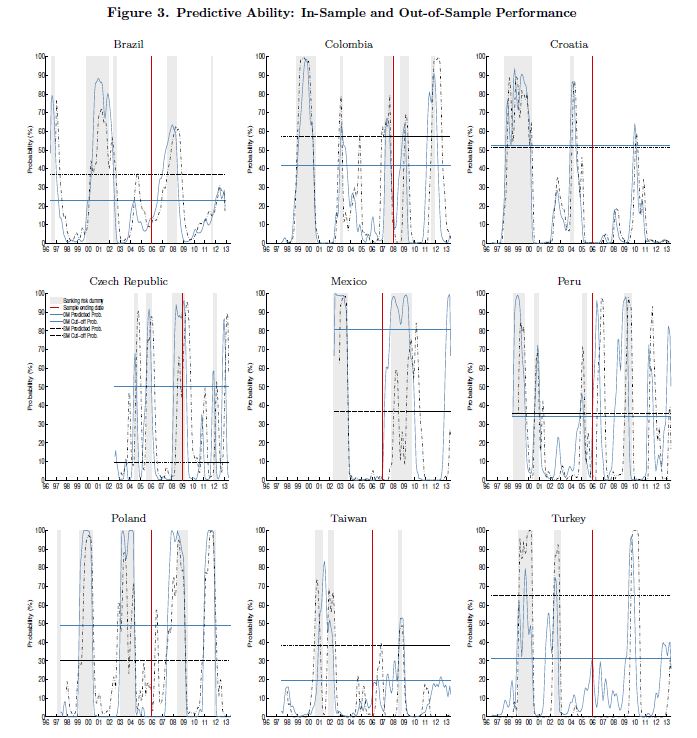
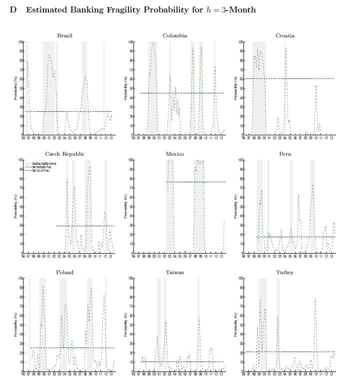
This paper proposes an empirical model to identify and forecast banking fragility episodes using information on the credit funding sources. We predict the probability of occurrence of such episodes 0, 3 and 6 months ahead employing a Bayesian Model Averag
Description
Temática
Citation
Collections
Seleccionar año de consulta:

Esta obra está bajo licencia internacional Creative Commons Reconocimiento-NoComercial 4.0.
Este documento ha sido depositado por parte de el(los) autor(es) bajo la siguiente constancia de depósito






