Precios de bienes primarios e inflación en Colombia
Loading...
Borradores de Economía; No. 712
Date published
2012-05-20
Date
2012-05-20
Part of book title
ISSN
ISBN
Document language
spa
Las opiniones contenidas en el presente documento son responsabilidad exclusiva de los autores y no comprometen al Banco de la República ni a su Junta Directiva.
The opinions contained in this document are the sole responsibility of the author and do not commit Banco de la República or its Board of Directors.
Abstract
Description
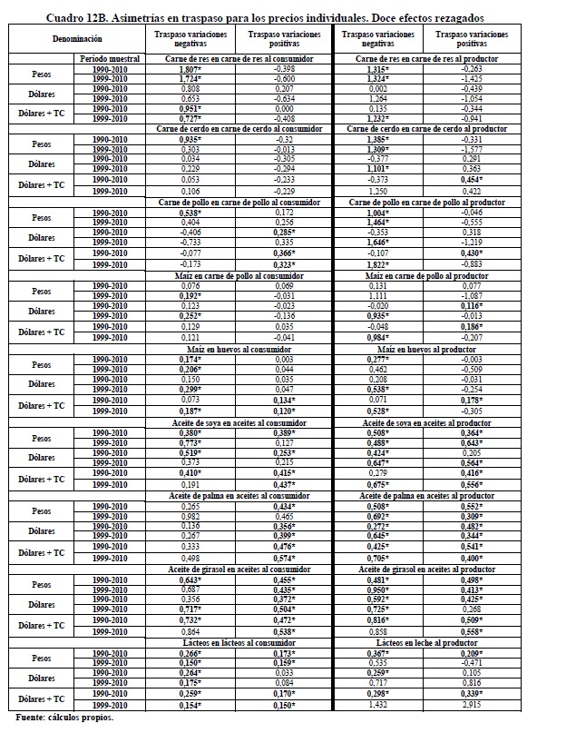
Se documenta la sensibilidad de los precios domésticos y la inflación a los precios internacionales. Se prueba causalidad y se estima el traspaso de los precios internacionales de alimentos y energía a un número importante de precios de las canastas del consumidor y del productor, la inflación básica y las expectativas de inflación en los últimos veinte años en Colombia. Se estiman efectos de primera y segunda ronda obteniendo evidencia de que los segundos son superiores a los primeros aunque durante la vigencia de la estrategia de metas de inflación, los efectos de segunda ronda han disminuido. En cuanto a los precios individuales, los traspasos directos son 05res entre 1999-2010 que entre 1990 y 2010. Los efectos de segunda ronda podrían estar relacionados con una credibilidad de la autoridad monetaria menos que completa pero con grandes avances durante los últimos diez años. Se verifica, además, la existencia de efectos asimétricos, encontrando diferencias en el traspaso cuando se presentan aumentos y reducciones en los precios internacionales de los bienes primarios.
JEL Codes
Temática
Keywords
Keywords
Citation
Collections
Seleccionar año de consulta:

Esta obra está bajo licencia internacional Creative Commons Reconocimiento-NoComercial 4.0.
Este documento ha sido depositado por parte de el(los) autor(es) bajo la siguiente constancia de depósito






