Importancia de las rigideces nominales y reales en Colombia: un enfoque de equilibrio general dinámico y estocástico
Loading...
Borradores de Economía; No. 591
Date published
2010-03-13
Date
2010-03-13
Part of book title
ISSN
ISBN
Document language
spa
Cargando estadísticas...
Las opiniones contenidas en el presente documento son responsabilidad exclusiva de los autores y no comprometen al Banco de la República ni a su Junta Directiva.
The opinions contained in this document are the sole responsibility of the author and do not commit Banco de la República or its Board of Directors.
Abstract
Description
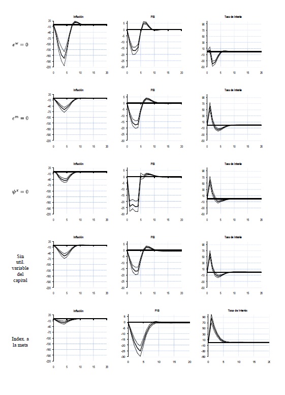
Este trabajo pretende determinar qué conjunto de rigideces nominales y reales se debe incluir en un modelo DSGE para replicar la dinámica de las variables agregadas de la economía colombiana. Con este fin, se estiman varios modelos DSGE con distintas combinaciones de rigideces nominales y reales usando métodos Bayesianos. Los resultados indican que el ajuste empírico del modelo está determinado, en orden de importancia, por la rigidez de salarios, la rigidez de los precios domésticos, los costos de ajuste a la inversión y la rigidez de precios de importados. Con respecto a la dinámica de corto plazo del modelo, la sensibilidad ante un choque de política monetaria depende en 05r medida de las rigideces de salarios, del tipo de indexación de precios y salarios y de los costos de ajuste de la inversión.
Temática
Keywords
Keywords
Citation
Collections
Seleccionar año de consulta:

Esta obra está bajo licencia internacional Creative Commons Reconocimiento-NoComercial 4.0.
Este documento ha sido depositado por parte de el(los) autor(es) bajo la siguiente constancia de depósito





