El ciclo económico: enfoques e ilustraciones. Los ciclos económicos de Estados Unidos y Colombia
Loading...
Borradores de Economía; No. 284
Date published
2004-04-18
Date
2004-04-18
Part of book title
ISSN
ISBN
Document language
spa
Las opiniones contenidas en el presente documento son responsabilidad exclusiva de los autores y no comprometen al Banco de la República ni a su Junta Directiva.
The opinions contained in this document are the sole responsibility of the author and do not commit Banco de la República or its Board of Directors.
Abstract
Description
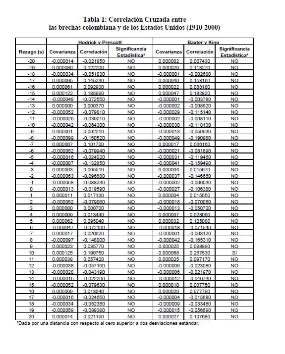
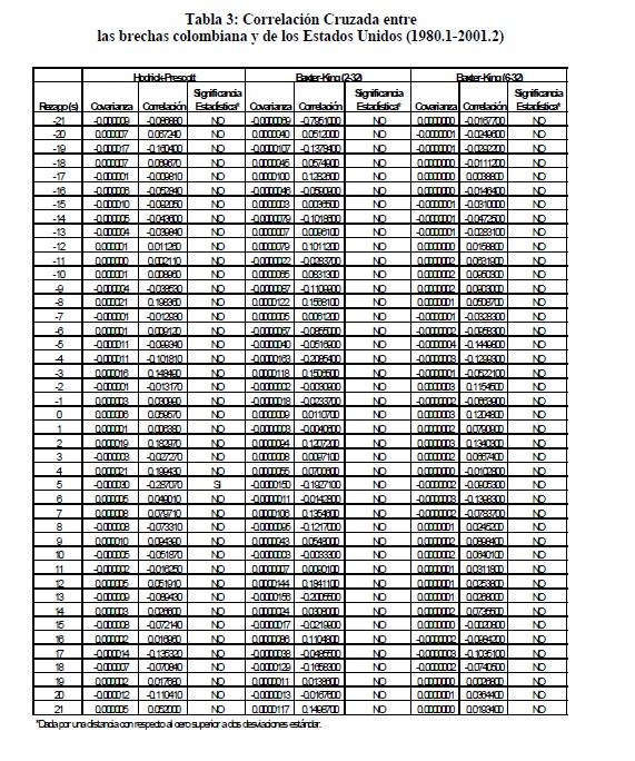
La explicación del ciclo económico fue uno de los intereses principales de los economistas en la primera mitad del siglo XX. Tal empeño dejó de ser prioritario en la agenda de la profesión entre fines de la segunda guerra mundial y el advenimiento del primer choque sobre los precios petroleros a mediados de los setenta. Desde entonces el ciclo económico volvió a ocupar una posición prominente en la investigación económica. Este ensayo destaca grandes líneas de investigación sobre el ciclo emprendidas a lo largo del siglo, se cita la controversia acerca de los eventuales cambios del ciclo en la segunda parte de la centuria anterior, y se introduce la discusión de los vínculos entre ciclos de diferentes economías. Este último tópico sirve de introducción al tema de las correlaciones entre ciclos de economías, y a su aplicación a las posibles correlaciones entre los Estados Unidos y Colombia durante el último siglo.
Temática
Keywords
Keywords
Citation
Collections
Seleccionar año de consulta:

Esta obra está bajo licencia internacional Creative Commons Reconocimiento-NoComercial 4.0.
Este documento ha sido depositado por parte de el(los) autor(es) bajo la siguiente constancia de depósito






