Shadow banking y liquidez en Colombia
Loading...
Borradores de Economía; No. 780
Date published
2013-09-09
Date
2013-09-09
Authors
Cardozo-Ortiz, Pamela Andrea
Cely-Fernández, Jorge Humberto
Murcia-Pabón, Andrés
Cely-Fernández, Jorge Humberto
Murcia-Pabón, Andrés
Part of book title
ISSN
ISBN
Document language
spa
Cargando estadísticas...
Las opiniones contenidas en el presente documento son responsabilidad exclusiva de los autores y no comprometen al Banco de la República ni a su Junta Directiva.
The opinions contained in this document are the sole responsibility of the author and do not commit Banco de la República or its Board of Directors.
Abstract
In this study we calculate an indicator of the shadow banking activity in Colombia for the period between January 2011 and March 2013. This indicator suggests that this activity has been increasing, accounting for about 9.9% of GDP in 2012. Additionally,
Description
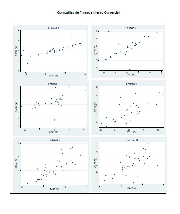
En este estudio calculamos un indicador de la actividad de shadow banking en Colombia para el período comprendido entre 01 de 2011 y 03 de 2013. Dicho indicador sugiere que esta actividad ha venido incrementándose y representa cerca del 9,9% del PIB de 2012. Adicionalmente, evaluamos el nivel de prociclicidad que puede tener la decisión de apalancamiento de un grupo de intermediarios financieros especialmente asociados a este tipo de actividad, encontrando que dicha prociclicidad está asociada a un 05r uso de operaciones repo y de simultáneas por parte de los intermediarios financieros. Finalmente, a través de la adaptación de un modelo teórico de liquidez y apalancamiento (Tirole, 2011) planteamos bajo qué condiciones dichas decisiones de apalancamiento se tornan procíciclicas.
JEL Codes
D84 - Expectations; Speculations
Temática
Keywords
Prociclicidad, Liquidez, Decisiones de apalancamiento
Keywords
Shadow banking
Citation
Collections
Seleccionar año de consulta:

Esta obra está bajo licencia internacional Creative Commons Reconocimiento-NoComercial 4.0.
Este documento ha sido depositado por parte de el(los) autor(es) bajo la siguiente constancia de depósito





