Métodos de combinación de pronósticos: una aplicación a la inflación Colombiana
Loading...
Borradores de Economía; No. 109
Date published
1998-11-08
Date
1998-11-08
Part of book title
ISSN
ISBN
Document language
spa
Las opiniones contenidas en el presente documento son responsabilidad exclusiva de los autores y no comprometen al Banco de la República ni a su Junta Directiva.
The opinions contained in this document are the sole responsibility of the author and do not commit Banco de la República or its Board of Directors.
Abstract
Description
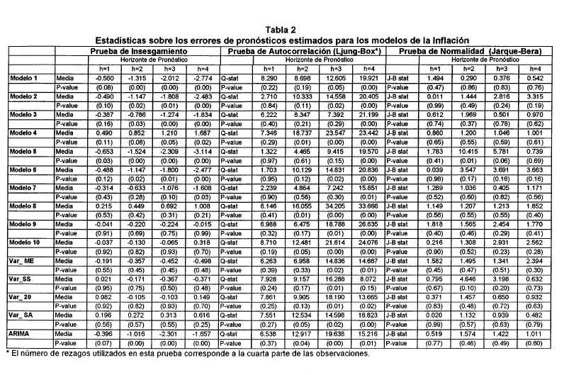
En este trabajo se presentan algunos métodos de combinación de pronósticos de diferentes modelos econométricos. Estas metodologías tienen como principal objetivo encontrar una combinación lineal de pronósticos de diferentes modelos que produzca una predicción mejorada en términos de precisión. Basados en estas técnicas se realizan dos ejercicios: en la primera aplicación se emplean estos métodos sobre quince modelos trimestrales de la inflación colombiana para pronósticos en el periodo comprendido entre 1992 : I y 1998 : II considerando horizontes desde uno hasta cuatro trimestres. Los resultados de e ste análisis muestran una mejoría significativa en las predicciones; en efecto, el pronóstico combinado comparado con los pronósticos del mejor de los modelos econométricos reporta ganancias en precisión (RMSE); en caso del horizonte de un trimestre es del 16.1%; para el horizonte de dos trimestres es del 42%; para el horizonte tres del 21.3% y del 12.8% para el horizonte de cuatro trimestres. La segunda aplicación de las metodologías de combinación de pronósticos se realiza utilizando un ejercicio de simulación, el cual se basa en modelos similares a los empleados en el primer ejercicio; los resultados obtenidos muestran que bajo técnicas adecuadas de combinación de pronósticos es posible obtener alrededor de un 50% y 35% de ganancia en precisión con respecto a los modelos individuales para horizontes de uno y cuatro trimestres, respectivamente.
JEL Codes
Temática
Keywords
Keywords
Citation
Collections
Seleccionar año de consulta:

Esta obra está bajo licencia internacional Creative Commons Reconocimiento-NoComercial 4.0.
Este documento ha sido depositado por parte de el(los) autor(es) bajo la siguiente constancia de depósito






