El encaje bancario en Colombia: perspectiva general
Loading...
Borradores de Economía; No. 470
Date published
2007-12-04
Date
2007-12-04
Authors
Avella-Gómez, Mauricio
Part of book title
ISSN
ISBN
Document language
spa
Cargando estadísticas...
Las opiniones contenidas en el presente documento son responsabilidad exclusiva de los autores y no comprometen al Banco de la República ni a su Junta Directiva.
The opinions contained in this document are the sole responsibility of the author and do not commit Banco de la República or its Board of Directors.
Abstract
Description
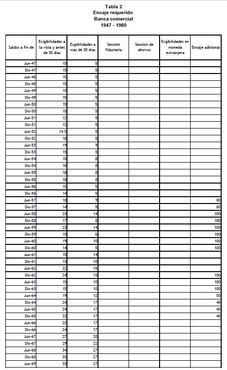
En las últimas dos décadas, coincidiendo con el florecimiento de nuevas visiones acerca de la política monetaria, de sus objetivos e instrumentos, así como acerca del papel de la intermediación financiera, la institución del encaje entró en decadencia; algunos países optaron por deshacerse de ella, al tiempo que otros la han mantenido en su lista de opciones de política, sin renunciar a ella, aunque con un papel muy limitado. En Colombia, desde los primeros estatutos financieros expedidos en los años veinte, el encaje no sólo estuvo presente, sino que hizo parte de un elenco de instituciones ligadas a la estabilidad financiera.
JEL Codes
N26 - Financial Markets and Institutions: Latin America; Caribbean
G21 - Banks; Depository Institutions; Micro Finance Institutions; Mortgages
G21 - Banks; Depository Institutions; Micro Finance Institutions; Mortgages
Temática
Keywords
Instrumentos de política monetaria, Asignación crediticia, Regulación financiera
Keywords
Citation
Collections
Seleccionar año de consulta:

Esta obra está bajo licencia internacional Creative Commons Reconocimiento-NoComercial 4.0.
Este documento ha sido depositado por parte de el(los) autor(es) bajo la siguiente constancia de depósito





