Evaluación de pronóstico de una red neuronal sobre el PIB en Colombia
Loading...
Borradores de Economía; No. 575
Date published
2009-10-15
Date
2009-10-15
Authors
Part of book title
ISSN
ISBN
Document language
spa
Las opiniones contenidas en el presente documento son responsabilidad exclusiva de los autores y no comprometen al Banco de la República ni a su Junta Directiva.
The opinions contained in this document are the sole responsibility of the author and do not commit Banco de la República or its Board of Directors.
Abstract
Description
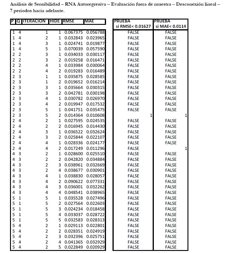
Las redes neuronales artificiales han mostrado ser modelos robustos para dar cuenta del comportamiento de diferentes variables. En el presente trabajo se emplean para modelar la relación no lineal del crecimiento del PIB. Tres modelos son considerados: dos autoregresivos (especificación lineal y no lineal) y una red neuronal que usa la tasa de interés. Evaluando el desempeño de los modelos dentro y fuera de muestra, los pronósticos realizados por las redes neuronales artificiales superan ampliamente a los modelos lineales, siendo esta evidencia de relaciones asimétricas en el comportamiento del PIB en Colombia.
JEL Codes
Temática
Keywords
Keywords
Citation
Collections
Seleccionar año de consulta:

Esta obra está bajo licencia internacional Creative Commons Reconocimiento-NoComercial 4.0.
Este documento ha sido depositado por parte de el(los) autor(es) bajo la siguiente constancia de depósito






