Commodity booms, dutch disease, and real business cycles in a small open economy: the case of coffee in Colombia
Loading...
Borradores de Economía; No. 73
Date published
1997-06-20
Date
1997-06-20
Authors
Part of book title
ISSN
ISBN
Document language
spa
Las opiniones contenidas en el presente documento son responsabilidad exclusiva de los autores y no comprometen al Banco de la República ni a su Junta Directiva.
The opinions contained in this document are the sole responsibility of the author and do not commit Banco de la República or its Board of Directors.
Abstract
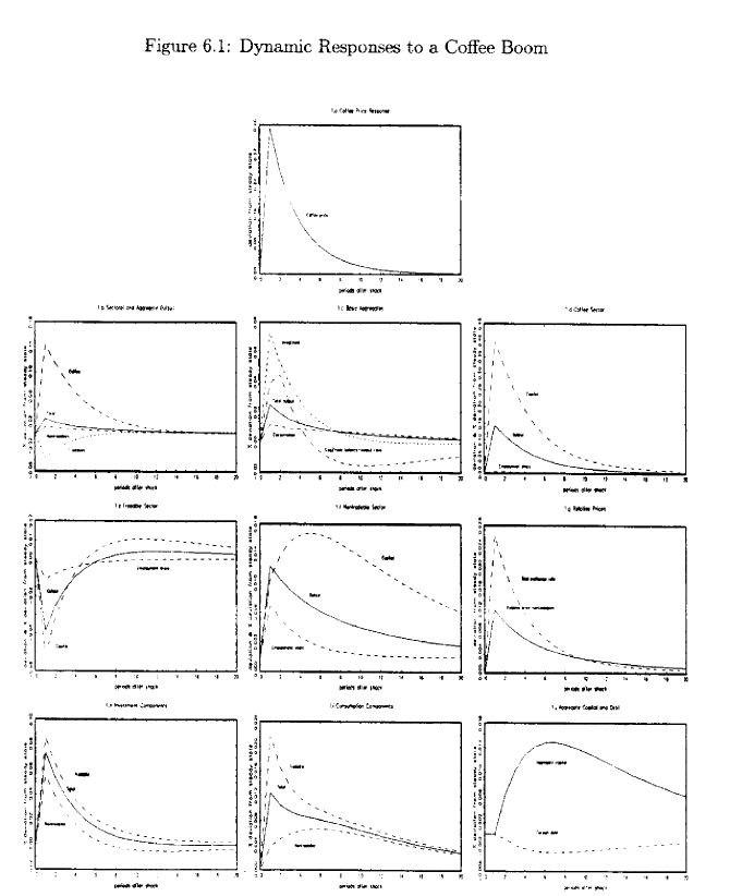
This paper proposes a dynamic,stochastic, multisector growth model which integrates the real business cycle literature and booming sector and Dutch Disease economics to analyze fluctuations, resource allocation and relative price changes in small open (developing) economies subject to terms of trade shocks. The model is consistent whith aggregate and sectorial cyclical behavior of this class of economies, and rationalizes as an efficient outcome the symptoms of Dutch Disease (temporary deindustrialization and appreciation of the real exchange rate) which are sometimes judged to be suboptimal responses and as the rationale for government intervention in developing countries. It is also found that commodity price stabilization policies do not significantly affect the cyclical pattern of fluctuations and that their welfare benefits are second orden.
Description
Temática
Keywords
Keywords
Citation
Collections
Seleccionar año de consulta:

Esta obra está bajo licencia internacional Creative Commons Reconocimiento-NoComercial 4.0.
Este documento ha sido depositado por parte de el(los) autor(es) bajo la siguiente constancia de depósito






