Expectativas y prima por riesgo inflacionario bajo una medida de compensación a la inflación
Loading...
Borradores de Economía; No. 589
Date published
2010-03-08
Date
2010-03-08
Part of book title
ISSN
ISBN
Document language
spa
Cargando estadísticas...
Las opiniones contenidas en el presente documento son responsabilidad exclusiva de los autores y no comprometen al Banco de la República ni a su Junta Directiva.
The opinions contained in this document are the sole responsibility of the author and do not commit Banco de la República or its Board of Directors.
Abstract
Description
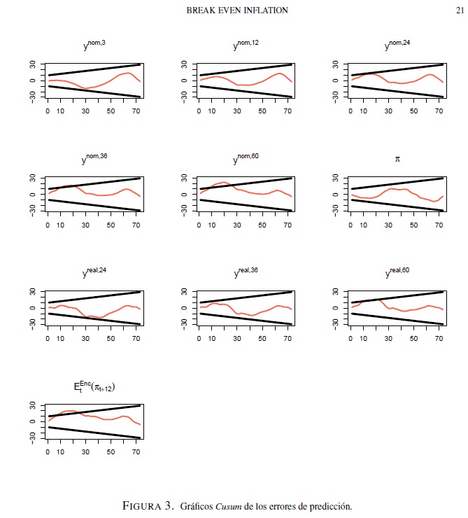
En este documento se estima una medida de compensación inflacionaria (Break Even Inflation) usando los rendimientos de los TES en pesos y de los TES indexados a la UVR para el periodo comprendido entre 01 de 2003 y noviembre de 2009. Esta medida se descompone en expectativas de inflación y prima por riesgo inflacionario. Las expectativas de inflación se calculan con base en la representación de estado espacio de un modelo afín de estructura a término extendido. Este relaciona la rentabilidad de los bonos nominales y reales, a distintas maduraciones, con la inflación observada y dos factores no observables. Con el objeto de mejorar los pronósticos, este modelo incorpora las expectativas de inflación a 12 meses de la encuesta mensual del Banco de la República. Los resultados muestran una tendencia a la baja de las expectativas de inflación. Esto se puede deber al aumento de la confianza en la política monetaria por parte de los agentes. Otro resultado que soporta esta hipótesis es que la prima por riesgo inflacionario presenta una tendencia decreciente a lo largo de la muestra para horizontes de tiempo de mediano y largo plazo (2 y 5 años). Adicionalmente, los resultados indican que a corto plazo, el break even es un buen indicador de expectativas de inflación. Sin embargo, para el mediano y largo plazo esto no se cumple dado que la prima por riesgo inflacionario toma relevancia para 05res periodos de maduración.
Temática
Keywords
Citation
Collections
Seleccionar año de consulta:

Esta obra está bajo licencia internacional Creative Commons Reconocimiento-NoComercial 4.0.
Este documento ha sido depositado por parte de el(los) autor(es) bajo la siguiente constancia de depósito





