The term-structure of sovereign default risk in Colombia and its determinants
Loading...
Borradores de Economía; No. 709
Date published
2012-05-13
Date
2012-05-13
Part of book title
ISSN
ISBN
Document language
spa
Las opiniones contenidas en el presente documento son responsabilidad exclusiva de los autores y no comprometen al Banco de la República ni a su Junta Directiva.
The opinions contained in this document are the sole responsibility of the author and do not commit Banco de la República or its Board of Directors.
Abstract
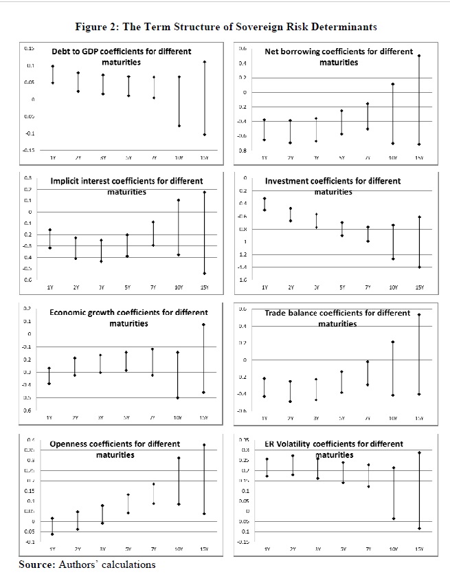
We study the determinants of sovereign default risk in Colombia by focusing on different time spans of risk which are indicated by yield spreads of government bonds with different maturities. Cointegration regressions are performed to analyze whether the
Description
Temática
Keywords
Citation
Collections
Seleccionar año de consulta:

Esta obra está bajo licencia internacional Creative Commons Reconocimiento-NoComercial 4.0.
Este documento ha sido depositado por parte de el(los) autor(es) bajo la siguiente constancia de depósito






