Portfolio optimization and long-term dependence
Loading...
Borradores de Economía; No. 622
Date published
2010-09-20
Date
2010-09-20
Part of book title
ISSN
ISBN
Document language
spa
Las opiniones contenidas en el presente documento son responsabilidad exclusiva de los autores y no comprometen al Banco de la República ni a su Junta Directiva.
The opinions contained in this document are the sole responsibility of the author and do not commit Banco de la República or its Board of Directors.
Abstract
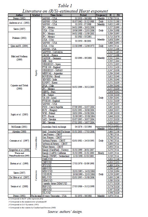
Whilst emphasis has been given to short-term dependence of financial returns, long-term dependence remains overlooked. Despite financial literature provides evidence of long-term's memory existence, serial-independence assumption prevails. This document
Description
Temática
Citation
Collections
Seleccionar año de consulta:

Esta obra está bajo licencia internacional Creative Commons Reconocimiento-NoComercial 4.0.
Este documento ha sido depositado por parte de el(los) autor(es) bajo la siguiente constancia de depósito






