La caída de la tasa de ahorro en Colombia durante los años noventa: evidencia a partir de una base de datos para el período 1950-1993
Loading...
Borradores de Economía; No. 57
Date published
1996-08-16
Date
1996-08-16
Part of book title
ISSN
ISBN
Document language
spa
Las opiniones contenidas en el presente documento son responsabilidad exclusiva de los autores y no comprometen al Banco de la República ni a su Junta Directiva.
The opinions contained in this document are the sole responsibility of the author and do not commit Banco de la República or its Board of Directors.
Abstract
Description
En la literatura sobre el consumo y el ahorro es cada vez más frecuente la utilización de bases de datos de carácter microeconómico, ya que ellas permiten un estudio detallado de los determinantes del ahorro privado. En el caso Colombiano, dichas bases de datos existen para las empresas y los hogares. En particular, la Superintendencia de Sociedades posee una muestra confiable desde 1984 que cubre alrededor de 600 firmas a través del tiempo. Tal como se desprende del trabajo de Sánchez. et.al (1986), el análisis cuidadoso de esta información es de crucial importancia para entender la evolución reciente del ahorro privado en Colombia dado el auge y declive que experimentó el ahorro de las empresas en el período 1983-1994. Para el caso de los hogares no existe información del panel, materia prima de muchos de los estudios de ahorro en los Estados Unidos. Además, aunque existen encuestas de los años 1936-1940. 1953, 1963-1967, 1971, 1985 y 1994, en el futuro ellas deberían llevarse a cabo con una mayor periodicidad e incluir preguntas relacionadas con la riqueza y las herencias del hogar entrevistado. Así se sentarían las bases para futuros estudios microeconométricos que sirvieran para entender las causas del continuo deterioro del ahorro de los hogares experimentado desde 1970.
Dada la importancia del ahorro de los hogares dentro del ahorro privado, y en vista de la limitada posibilidad de realizar estudios microeconométricos, las cuentas nacionales y financieras son y seguirán siendo por mucho tiempo la principal fuente para el estudio de los determinantes del ahorro en Colombia. Tal como se mencionará en la segunda sección de este trabajo, las cuentas nacionales del país están sujetas a criticas de diversa índole. No obstante, en relación con los demás países de América Latina y con otras naciones en desarrollo, nuestras cuentas nacionales contienen información especialmente valiosa que vale la pena destacar. En particular, los investigadores colombianos son privilegiados al poder encontrar información sobre consumo desagregada entre bienes durables y no durables a partir de 1965. Así mismo, pueden discriminar el ahorro privado aquel realizado por las empresas y los hogares.
Además en la medida que las empresas pueden ser discriminadas entre públicas y privadas, se asegura una mayor consistencia en la medición del ahorro y el ingreso de los sectores público y privado. Esto contrasta con las cuentas nacionales de otros países, las cuales pecan por un inadecuado cubrimiento del sector público trayendo consigo sesgos importantes cuando existen grandes transacciones corrientes y de capital de las empresas públicas financieras y no financieras con el sector externo y el privado (Schmidt-Hebbel y Serven (1996).
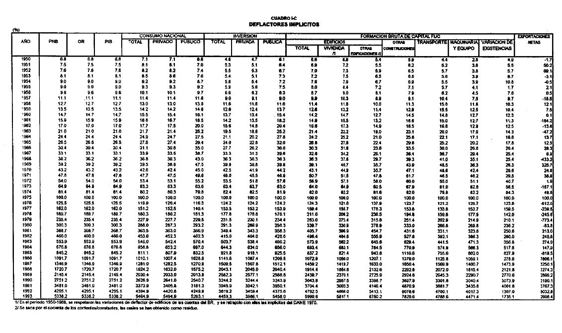
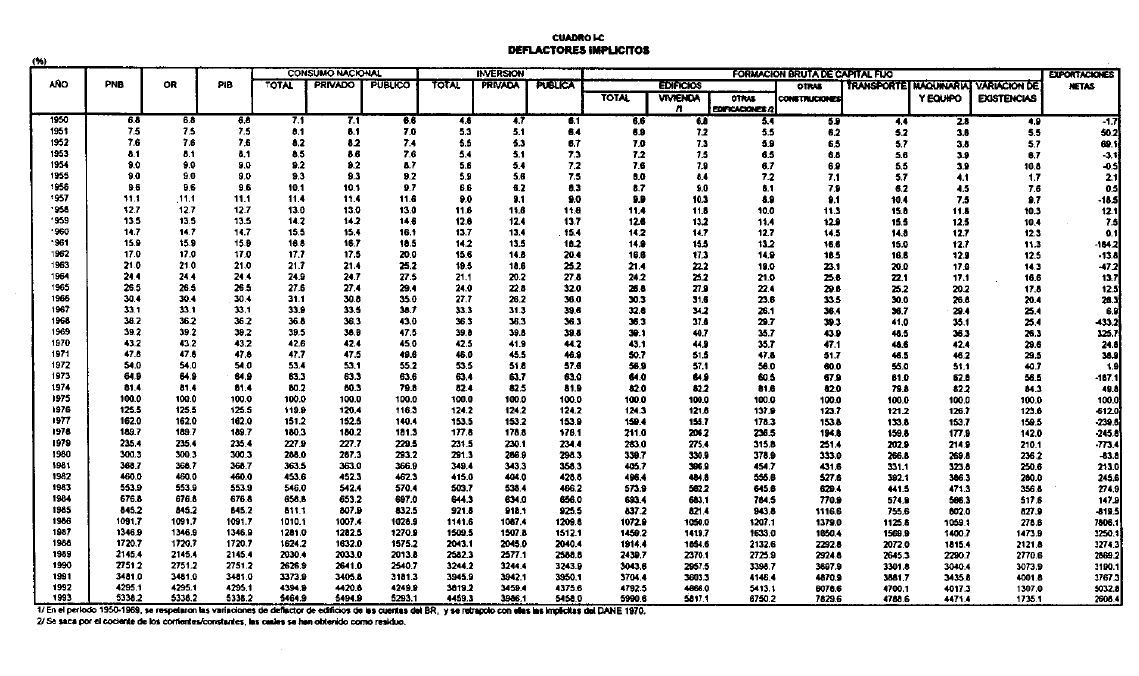
Uno de los aspectos más positivos de las cuentas nacionales de Colombia es que aquellas se vienen construyendo de manera metódica desde 1950. Sin embargo, la mayoría de los investigadores colombianos han sido reacios a trabajar con la información que cubre el período 1950-1969 puesto que durante esos años las cuentas nacionales las elaboró el Banco de la República bajo una metodología diferente a la que adoptó el DANE a partir de 1970(1). En términos econométricos desechar el período 1950-1969 significa perder casi la mitad de la información sacrificándose un importante número de grados de libertad y restándole credibilidad al trabajo estadístico. Consciente de estos problemas, Agudelo (1991) y Londoño (1995) buscaron reconciliar las dos series pero su metodología cuenta con algunos vacíos. Por un lado, Agudelo (1991) concentró sus esfuerzos únicamente en reconstruir nuevas series de ahorro para el período 1950-1969. Infortunadamente, para el investigador interesado en los determinantes del ahorro es esta reconstrucción no es suficiente. En efecto, además de las series de ahorro esta reconstrucción no es suficiente. En efecto, además de las series de ahorro es importante generar nuevas series para el PIB, el PNB, el consumo público y construye gran parte de estas variables, su trabajo no es completamente consistente. En particular, su empalme no permite que se cumpla una identidad básica, según la cual el ahorro privado debe ser el mismo bien sea que se calcule como: (i) ingreso disponible privado menos consumo privado, o (ii) la diferencia entre inversión total y la suma del ahorro público con el extremo. En la segunda sección de este trabajo se construye series nuevas de los principales rubros de las cuentas nacionales para el periodo 1950-1969 y se empalman con las construidas por el DANE a partir de1970. En la tercera parte las series de ingreso y ahorro de los sectores público, privado y externo son corregidas por un factor que mide las ganancias netas de capital. La cuarta sección resalta las principales diferencias de las series presentadas en las secciones II y III. Adicionalmente, investiga las causas que están detrás de la caída del ahorro privado en la década de los noventa. La quinta parte concluye.
Temática
Keywords
Keywords
Citation
Collections
Seleccionar año de consulta:

Esta obra está bajo licencia internacional Creative Commons Reconocimiento-NoComercial 4.0.
Este documento ha sido depositado por parte de el(los) autor(es) bajo la siguiente constancia de depósito






