La participacion laboral en Colombia segun la nueva encuesta: ¿cambian sus determinantes?
Loading...
Borradores de Economía; No. 250
Date published
2003-06-12
Date
2003-06-12
Part of book title
ISSN
ISBN
Document language
spa
Las opiniones contenidas en el presente documento son responsabilidad exclusiva de los autores y no comprometen al Banco de la República ni a su Junta Directiva.
The opinions contained in this document are the sole responsibility of the author and do not commit Banco de la República or its Board of Directors.
Abstract
Description
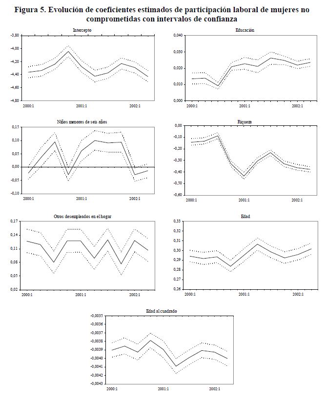
Este documento reporta los resultados de la estimación econométrica de un modelo de la tasa de participación para cuatro categorías de miembros del hogar (13 ciudades): mujeres comprometidas (casadas o en unión permanente), mujeres no comprometidas (solteras, viudas o separadas), hombres comprometidos y hombres no comprometidos, con base en la nueva Encuesta Continua de Hogares del DANE para el período 2000:1 2002:2. Los hallazgos concuerdan con los de Arango y Posada (2003), basados en la Encuesta Nacional de Hogares, y se mantienen en el siguiente sentido: el desempleo de otros miembros del hogar, la edad y el nivel educativo alcanzado siguen siendo los principales determinantes de efecto positivo en la tasa de participación mientras que el principal determinante de efecto negativo sigue siendo la riqueza de los hogares. Según el modelo, la tasa de participación cae ante disminuciones en la tasa de desempleo.
JEL Codes
Temática
Keywords
Citation
Collections
Seleccionar año de consulta:

Esta obra está bajo licencia internacional Creative Commons Reconocimiento-NoComercial 4.0.
Este documento ha sido depositado por parte de el(los) autor(es) bajo la siguiente constancia de depósito






